マルチコイン:注目の資産と予測市場

著者: Eli Qian、Multicoin Capital の投資パートナー。翻訳: Bitcoin Vision xiaozou

わかりやすくするために、アセットを大まかに 2 つのカテゴリに分類できます。

1.キャッシュフロー資産– 主に株式と債券です。このような資産は​​、投資家が評価するキャッシュ フローを生み出します。

2. 需要と供給の資産——主に商品と為替が対象となります。価格は需要と供給によって変動します。

近年、暗号空間は新しいタイプの資産、つまり注目によって価値が測られる資産を生み出しました。現在、「注目資産」はNFT、クリエイタートークン、ミームコインなどユーザーが生成する資産が中心です。このような資産は​​、文化的注目の潮流におけるシェリング ポイントとして機能し、価格変動を通じて注目の盛衰を反映します。

Memecoin は文化的には興味深いものですが、その金融特性には欠陥があります。効率的な注目資産により、市場参加者は特定のものに注目を向けるためのエクスポージャを構築できるようになります。このメカニズムを通じて、参加者は価格が間違っていると思われる資産を喜んで取引するようになります。したがって、市場は注目の期待を反映した価格を集合的に形成することができます

私たちは、合理的な構造設計を通じて、注目資産が正式な資産クラスにアップグレードされることが期待されると考えています。このアイデアを前進させるために、この記事では「アテンション オラクル」の概念を提案します。この新しいオラクル アーキテクチャは「アテンション永久契約」の作成をサポートし、トレーダーが文化的シンボルのアテンションに対してロングおよびショート オペレーションを実行できるようにします。

つまり、アテンションオラクルは、トピック固有のバイナリ予測市場データを収集し、価格、流動性、時間のディメンションを組み合わせて、アテンションの変化を捉える加重複合インデックスを構築します。効果的な運用を確保するには、現実世界の注目の入力を表す基礎となる市場を慎重に選択する必要があります。予測市場をデータ ソースとして使用すると、当然、操作コストが組み込まれます。悪意のあるトレーダーは、指数に影響を与えるために資金を投資する必要があり、理論的には改ざんを阻止できます。

1, 無期限契約に注意が必要な理由

ユーザー生成資産 (UGA) は、純粋に投機的な領域で製品市場への適合を実現しており、新たなインターネット トレンドやミームなど、ゼロから始まったものへの注目を追跡することに熟達しています。

UGA の中核となる価値は、従来の金融チャネルでは存在できないターゲット向けの資産を作成することです。従来の資産発行プロセスは時間がかかり、コストが高く、規制の基準が高いため、対象の範囲が大幅に制限されます。注目資産は、世界的な思想傾向の進化に合わせてインターネット速度を維持する必要があります。許可のないトークン発行、結合曲線などのスマートな価格設定メカニズム、分散型取引所の組み合わせにより、誰でも無料で資産を作成し、流動性を流し、世界にオープンな取引を行うことができます。

UGA の価格は通常ゼロから始まることが観察されています。これは欠陥ではなく機能です。新しいミームを作成しても、最初は注目を集めません。低レベルでのエントリーは直感的であり、傾向を早期に検出するのが得意な人は、低コストの原資産を通じてキャッシュを実現することができます。しかし、このことは、UGA がすでに高い注目を集めている既存のものを効果的に追跡することを困難にすることにもなります。

たとえば、あなたがレブロン・ジェームズの注目を楽観的に考えており、ロングをしたいと考えているとします。ミームコインは作成できますが、利用可能なレブロントークンは数十種類あります。どうやって選びますか?さらに、新しいコインはゼロから始める必要があります。世界のトップセレブであるだけに注目度は高いはずで、短期間に何百倍も急上昇することは不可能だ。注目をそらしたい場合はどうすればよいでしょうか?ミームコインはこれをサポートするのが困難です。

では、注目度の高いターゲットを含むアセットにはどのような特徴があるべきでしょうか?次の要件を満たす必要があります。

    <リ>

    ロングオペレーションとショートオペレーションをサポートするには、双方向の取引メカニズムが必要です。

    <リ>

    現実世界の注意力測定ベンチマークを固定する必要がある。

    <リ>

    初期評価はゼロから始めるべきではありません

一歩下がってこれらの要件を確認すると、無期限契約が要件を完全に満たしていることがわかります。無期限契約には双方向の操作があり、オラクルの価格設定メカニズムがあり、デリバティブとして最初から始める必要がありません。本当の課題は、アテンションの永久契約のためのオラクル システムを構築することにあります。

一部のチームはすでにこの問題の解決に取り組んでいます。ノイズ。このプラットフォームでは、トレーダーは MegaETH や Monad などの暗号プロジェクトのコミュニティのマインドシェアに基づいて長期および短期のオペレーションを実行できます。ノイズはKaitoを神託として使用し、ソーシャルメディアとニュースデータを集計することでトピックの人気を表す数値を生成します。

ただし、既存の設計にはまだ最適化の余地があります。アテンション オラクルの主な目標は、アテンション関連のデータを収集し、アルゴリズムを通じて処理して、長期および短期のトランザクションに使用できる価値指標を出力することです。

ソーシャル メディアをデータ ソースとして使用する場合の欠点は、簡単に操作できることです。これはグッドハートの法則の証拠です。敵対的な市場では、トレーダーは価格設定の入力を操作しようとします。カイトはそうしなければならない再設計されたリーダーボードとスパム対策フィルターこの問題に対処するために。

さらに、ソーシャルメディアは注目を集める完璧な手段ではありません。大谷翔平を例に挙げると、彼にはさまざまなソーシャル アプリケーションを使用する世界中のファン ベースがあり、これらのデータは Kaito に完全には含まれていない可能性があります。再びワールドシリーズで優勝すれば人気はさらに高まるが、ファン数やメンション数は必ずしも直線的に増えるわけではない。

2、注目のOracle: マーケットベースのソリューション

レブロン・ジェームズのケースに戻って、彼の注意を引き替えたいとします。レブロンの注目を集めるオラクルを構築する最初のステップは、彼に関する複数のバイナリ予測マーケットを収集する (または、存在しない場合は作成する) ことです。たとえば、「レブロン・ジェームスは以上のものを持っていますか? 完全なオラクルにはより多くの基礎となる市場を含める必要がありますが、この例ではこれら 3 つを例として取り上げます。インデックス価格は、各市場の価格、流動性、決済時間、およびイベントの重要性の加重集計によって計算されます。

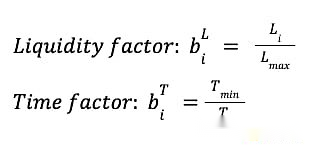
予測市場ごとに、価格、流動性、残り決済時間、イベント重要度係数の 4 つの側面を考慮する必要があります。説明を簡略化するために、各市場の重要度係数を 1 ~ 10 ポイントとし、流動性と時間の要素に基づいてウェイトを計算する、基本的なウェイト計算式を使用します。

3 つの市場の重要度スコアがそれぞれ 8 ポイント、2 ポイント、10 ポイントであると仮定すると、各市場の重みは次のように計算されます。

最終的な注目度指数は次のとおりです。

3 つの予測市場の決済期間をそれぞれ 180 日、20 日、180 日とし、イベント重要度係数を順に 8、2、10 とすると、総合的に計算すると次のようになります。

注目指標には、取引量の代わりに建玉を使用する、関連イベントを考慮する、市場の厚みを調整する、変数間の非線形関係などを作成するなど、より複雑な計算方法があることは明らかです。インタラクティブなウェブサイト、読者がリアルタイムのカルシ市場を通じてカスタムインデックスを構築できるようにします。

予測市場に基づいてオラクルを構築するこの方法の主な利点は、操作には実際のコストがかかることです。トレーダーがレブロン・フォーカスをロングして指数を押し上げようとしている場合、基礎となるバイナリー予測市場ポジションを購入する必要があります。原市場に十分な流動性があると仮定すると、これは、市場が高いとみなした価格でポジションをオープンする必要があることを意味します。

市場が拡大するにつれてますます重要になるもう 1 つの利点は、バイナリ予測市場がマーケット メーカーにスポット ヘッジ チャネルを提供することです。マーケットメーカーがアテンション指数をショートしている場合、指数を構成する基礎となる予測市場でロングポジションをとることでリスクをヘッジできます。

隣接カルシのリアルタイム流動性市場は、政治動向指数 (民主党対共和党、ニューヨーク市長選挙など) の作成に使用されています。この方法は、あらゆるトピックの注意追跡に一般化できると考えられます。予測市場が発展するにつれて、実現可能なトピックの範囲は拡大し続けます。

3、アテンションオラクルのデザイントレードオフ

私たちのオラクルアーキテクチャでは、複数の要素を考慮する必要があります。アテンション・オラクルをよりマクロな観点から見る場合、考慮すべき中心的な側面は次のとおりです。

    <リ>

    入力データの相関の強さ。

    <リ>

    データ取得の実際的な実現可能性。

    <リ>

    入力変数の操作レベル。

    <リ>

    注意度指数を算出するためのアルゴリズム関数設計

私たちが提案するオラクル方式の最も重要なトレードオフは、データ取得の難しさです。レブロン・ジェームズの注目を集めるオラクルを構築するには、まず関連するトピックに対して流動性の高い予測市場を複数作成する必要があります。これらの市場は流動性を維持し、古いトピックが期限切れになったときに適時に置き換えられる必要があります。したがって、このデザインは、成熟した予測市場 (トランプやテイラー スウィフトなど) が存在するニッチな注目度の高いトピックにのみ適しています。

もう一つの矛盾は、事件の結果がどうであれ、注目が高まる可能性があることだ。たとえば、たとえレブロンが再びチャンピオンシップに勝つことができなかったとしても、彼の衰退についての議論は実際に注目を集める可能性があります。現実の世界では、予期せぬ出来事に注目が集まることがよくありますが、予測市場は出来事が起こる確率を測定するだけです。市場がレブロンがMVPに選出されると予想していたのに負けた場合、指数が下落したときに世間の議論はさらに白熱する可能性があり、ファンは選出が不公平であると主張するでしょう。

最適なソリューションは、予測市場、ソーシャル メディア、その他のデータ ソースを組み合わせたハイブリッド ソリューションである可能性があります。Google トレンド最近、検索トレンド API が開発者に公開されました。検索ボリュームと注目度には明らかに関連性があり、重複排除メカニズムソーシャルメディアの指標よりも操作に対する耐性を高めます。LLM は、簡単に操作できるデータ ソース (主流メディアのヘッドラインや X プラットフォームのホットポストなど) を分析し、スパム情報をフィルタリングして、より堅牢な評価システムを構築するためにも使用できます。

私たちは、Kalshi や Polymarket のような成熟した取引所は、すでに大規模な流動性の高い原市場と取引ユーザー ベースを持っているため、アテンション永久契約を開始するのに最適な立場にあると考えています。ただし、注目の資産を手に入れる機会は業界の大手企業に限定されません。

考えられる解決策の 1 つは、予測市場の取引専用の保管庫を設定し、特定のテーマのロング/ショート ポジションをターゲットにすることです。たとえば、「ロング・テイラー・スウィフト・ヴォールト」では、彼女の曲がトップ10入りしたり、スーパーボウルのパフォーマンスなどのイベントの「はい」契約を購入できる。財務マネージャーは、どの市場が注目の増加に関連するかを決定する。

もう 1 つのモデルは Hyperliquid を利用することですビルダーは永久契約機能を導入します。HIP-3 提案により、市場展開者はオラクルを柔軟に定義できるようになります。インデックスは、カルシ/ポリマーケット価格、ソーシャル メディア インジケーター、Google 検索トレンド、ニュース ヘッドラインなどのデータ ソースを組み合わせて構築できます。

4、注目資産の可能性

皮肉なことに、注目の経済の最初の成熟した応用シナリオが株式市場に現れるかもしれません。株価には、割引キャッシュフロー価値 (つまり、本質的価値) とミーム的価値という 2 つの主要な要素が含まれています。

歴史的に、ほとんどの株には重大なミーム的価値はありませんでした。しかし近年、ウォールストリート・ギャンブル・フォーラムやロビンフッドなどの24時間365日の小売取引プラットフォームの台頭により、ミーム的価値を持ち続ける株が増え始めている。

株式調査アナリストの主な仕事は、株価を決定することです。DCF コンポーネントを計算するための成熟した方法はありますが、ミーム的価値を定量化するにはどうすればよいでしょうか?ミーム的価値に基づいて取引される資産が増えるにつれ、ミーム的価値をモデル化する方法を開発することが不可欠です。プロの投資家は、ファンの数、いいね!、露出などの指標を市場センチメントの評価に使用し始めており、他のオラクルと組み合わせた予測市場は、株式の注目度を測定し、取引モデルを最適化するための効果的なツールとなり得ます。

しかし、注目資産の可能性は株価をはるかに超えています。私たちは、注目を予測することは経済的に価値のある活動であると信じています。注目は消費者の好みと支出の先行指標です。企業は注目がどこに流れるかに基づいて研究開発、採用、マーケティングの予算を割り当てるため、重要なのは、これらの流れを追跡するための新しいヒューリスティック モデルを構築することです。

  • Related Posts

    x402 の物語は間違いなく爆発し、PING は刻印市場のように進化し、発展するでしょう。

    著者: ハオティア;出典: X、@tmel0211 x402…

    歴史は繰り返す: 年末の力強いリバウンドが進行中

    出典: Digital Asset Research、編集者…

    コメントを残す

    メールアドレスが公開されることはありません。 が付いている欄は必須項目です

    You Missed

    x402 の物語は間違いなく爆発し、PING は刻印市場のように進化し、発展するでしょう。

    • 投稿者 jakiro
    • 10月 24, 2025
    • 4 views
    x402 の物語は間違いなく爆発し、PING は刻印市場のように進化し、発展するでしょう。

    歴史は繰り返す: 年末の力強いリバウンドが進行中

    • 投稿者 jakiro
    • 10月 24, 2025
    • 4 views
    歴史は繰り返す: 年末の力強いリバウンドが進行中

    マルチコイン:注目の資産と予測市場

    • 投稿者 jakiro
    • 10月 24, 2025
    • 5 views
    マルチコイン:注目の資産と予測市場

    洞察: 暗号通貨業界は今、Solana のエンジニアリングの実用主義を必要としています

    • 投稿者 jakiro
    • 10月 24, 2025
    • 4 views
    洞察: 暗号通貨業界は今、Solana のエンジニアリングの実用主義を必要としています

    Polymarket における金融デリバティブの性質とプロのトレーダーの裁定ロジック

    • 投稿者 jakiro
    • 10月 24, 2025
    • 4 views
    Polymarket における金融デリバティブの性質とプロのトレーダーの裁定ロジック

    細分化された規制から体系的なガバナンスへ: EU MiCAR 規制枠組みの解釈

    • 投稿者 jakiro
    • 10月 24, 2025
    • 4 views
    細分化された規制から体系的なガバナンスへ: EU MiCAR 規制枠組みの解釈
    Home
    News
    School
    Search